交通运输部门的碳排放占全球碳排放总量的25%,而且人类广泛使用的交通运输工具,如车辆、船舶、飞机等的移动性强、单机功率低、保有量巨大,导致其实现碳中和目标极具挑战。

图1 《Science Bulletin》发表论文首页
近期,天津大学先进内燃动力全国重点实验室尧命发教授、刘海峰教授,环境学院金超副教授在多样化碳捕集方法下交通部门使用氢能的潜在效益和权衡领域取得新进展。利用全球气候变化的综合评估模型(GCAM),研究了在多样化的碳捕集方法下,将整个交通部门转向氢燃料的潜在优势以及对排放、能源、土地、食物、水和经济的折衷影响。该工作以题为“Potential benefits and trade-offs associated with hydrogen transition under diverse carbon dioxide removal strategies”的论文发表在中国科学院、国家自然科学基金委员会主办的自然科学综合性顶级学术期刊《Science Bulletin》 。天津大学先进内燃动力全国重点实验室刘海峰和留学生Jeffrey Dankwa Ampah为论文共同第一作者,刘海峰、Jeffrey Dankwa Ampah、金超和尧命发为论文通讯作者。该研究得到国家自然科学基金专项项目和面上项目的资助支持。

图2. 不同燃料与碳捕集技术实现交通领域脱碳对能源-水-土地-粮食的综合影响
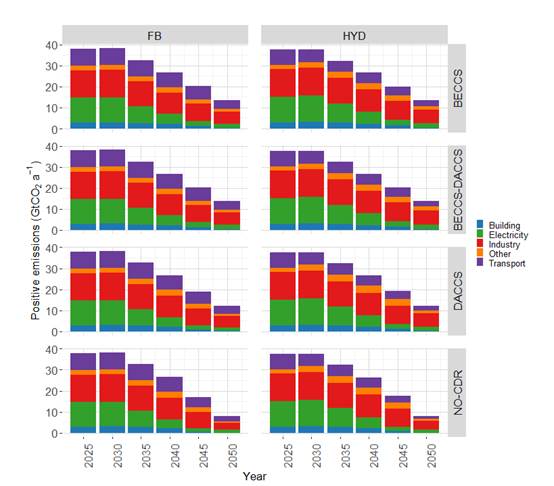
研究发现将氢气(HYD)在2030年之后作为唯一的燃料选择可以减少交通领域的碳排放(相比当前的化石和生物燃料FB模式),但在建设氢能所需的材料提取、生产和运输过程中需要消耗更多化石燃料,从而导致HYD模式下的电力、工业等部门的碳排放较FB模式更高(如图3所示),HYD模式下对氢的大量需求导致相关煤炭、天然气的消耗更大(如图4所示),进而将推迟预期的使用氢能后的脱碳效益。

图3.采用FB和HYD模式下不同领域的碳排放

图4.采用FB和HYD模式下不同产氢方式的耗能
二氧化碳捕集方法在解决土地、粮食和水资源问题方面发挥关键作用,而且通过或BECCS-DACCS(生物质能碳捕集与封存-直接空气碳捕集与封存)协同的二氧化碳去除方法较单一的碳捕集方法更有效。本研究的发现对脱碳政策的制定、对实现更绿色的可持续未来发展具有重要意义。